Menu
Dashboard
Training
EDGE Marketing
All Applications & Paperwork
Dual Pricing Terminals
Point of Sale
POS General
Cluster POS
HotSauce
Greta
Mynt
Retail Cloud
Payanywhere
Salido
Korona POS
KwickPOS
Givehub
Applova
Growthzilla
Paradise POS
FoodHub
Equipment
Equipment General
Valor
Dejavoo
Ingenico
Payanywhere
Gift & Loyalty
E-commerce Gateways
Merchant Resources
Partner Resources
Account Maintenance Forms
Payments Hub
Chargezoom
Cash Advance
All Resources
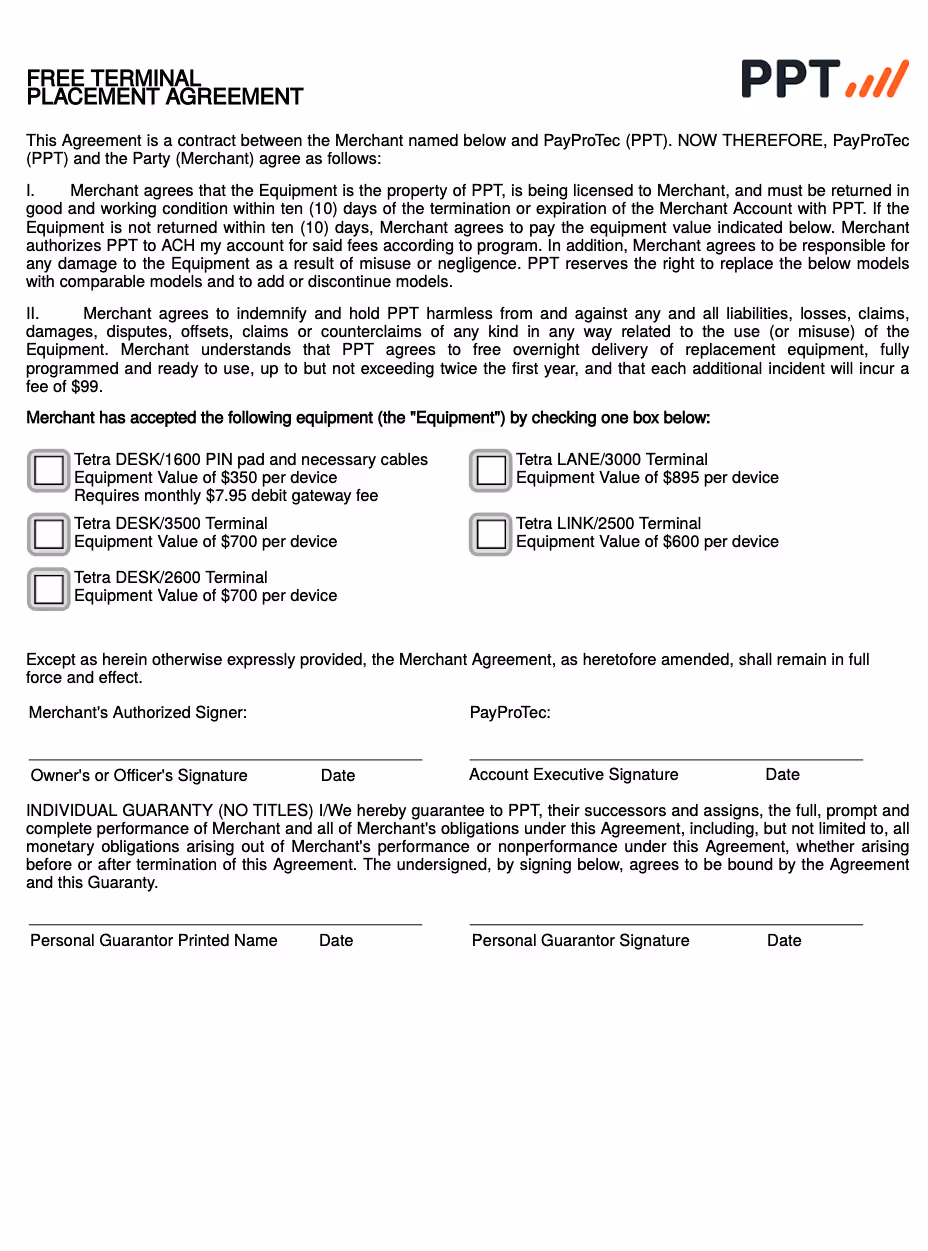
Free Ingenico DESK/3500/2600 Terminal Form
May 27, 2025
A free placement form for our Tetra DESK/2600 and DESK/3500 Terminal.
Download
Support
Partner Support:
844-334-9625
Merchant Support:
844-800-7827
Email Us
Support Channels
Office Directory
Activity Log
Partner Tools
Payments Hub Status
Resources
POSLead.com
Partner Portal
Payments Hub
Connect With Us
Live PPT Events
Facebook Group
Instagram
Twitter
Email List Sign Up
PayProTec is a registered DBA of EPX, a registered ISO of BMOHarris Bank N.A., Chicago, IL, Fresno First Bank, Fresno,CA, and Citizens Bank N.A., Providence, RI